Bags X And Y Contain Counters . Adam takes a counter from the bag at random and does not replace it. Based on the given conditions, formulate: Pigreen counter from x= ptred counter from y wark out the number of green counters in x. X = 2 \times 30 \div 5 x = 2× 30÷ 5. Work out the probability that the counter is not red. Bag x 30 counters each counter is green, white or yellow bag y 5 counters 3. Bags x and y each contain counters. N 30 = 2 5 \frac {n}{30}=\frac {2}{5} 30 n = 5 2 5n=60 n=12. Web there are n counters in a bag. Web bagt x and y each contain counters. Web all 35 counters are put into one bag. 8 of the counters are red and the rest are blue. One counter is picked at random.
from www.gauthmath.com
Work out the probability that the counter is not red. Bags x and y each contain counters. Web bagt x and y each contain counters. Pigreen counter from x= ptred counter from y wark out the number of green counters in x. Web all 35 counters are put into one bag. Adam takes a counter from the bag at random and does not replace it. 8 of the counters are red and the rest are blue. Based on the given conditions, formulate: One counter is picked at random. N 30 = 2 5 \frac {n}{30}=\frac {2}{5} 30 n = 5 2 5n=60 n=12.
Solved 16 In a bag there are only red counters, blue counte[algebra
Bags X And Y Contain Counters 8 of the counters are red and the rest are blue. One counter is picked at random. Work out the probability that the counter is not red. Adam takes a counter from the bag at random and does not replace it. Based on the given conditions, formulate: Web bagt x and y each contain counters. Web all 35 counters are put into one bag. Web there are n counters in a bag. Bags x and y each contain counters. N 30 = 2 5 \frac {n}{30}=\frac {2}{5} 30 n = 5 2 5n=60 n=12. X = 2 \times 30 \div 5 x = 2× 30÷ 5. Bag x 30 counters each counter is green, white or yellow bag y 5 counters 3. 8 of the counters are red and the rest are blue. Pigreen counter from x= ptred counter from y wark out the number of green counters in x.
From www.youtube.com
Probability Review with 5 Examples YouTube Bags X And Y Contain Counters 8 of the counters are red and the rest are blue. Adam takes a counter from the bag at random and does not replace it. Bag x 30 counters each counter is green, white or yellow bag y 5 counters 3. Work out the probability that the counter is not red. Pigreen counter from x= ptred counter from y wark. Bags X And Y Contain Counters.
From www.gauthmath.com
Solved GCSE (91) Mathematics 21 A bag contains some counters.. There Bags X And Y Contain Counters X = 2 \times 30 \div 5 x = 2× 30÷ 5. Based on the given conditions, formulate: Web bagt x and y each contain counters. Bags x and y each contain counters. Web all 35 counters are put into one bag. N 30 = 2 5 \frac {n}{30}=\frac {2}{5} 30 n = 5 2 5n=60 n=12. 8 of the. Bags X And Y Contain Counters.
From www.electroniclinic.com
Counters in Digital Electronics Synchronous, Asynchronous and Ripple Bags X And Y Contain Counters Web there are n counters in a bag. 8 of the counters are red and the rest are blue. Based on the given conditions, formulate: Work out the probability that the counter is not red. Pigreen counter from x= ptred counter from y wark out the number of green counters in x. Web all 35 counters are put into one. Bags X And Y Contain Counters.
From www.rehabmart.com
Continuous Sponge Counter Clear Bags, 250 Count Bags X And Y Contain Counters Based on the given conditions, formulate: Web bagt x and y each contain counters. X = 2 \times 30 \div 5 x = 2× 30÷ 5. Pigreen counter from x= ptred counter from y wark out the number of green counters in x. Web there are n counters in a bag. 8 of the counters are red and the rest. Bags X And Y Contain Counters.
From www.youtube.com
Probability GCSE when counters are added Find Original Number of Red Bags X And Y Contain Counters Web bagt x and y each contain counters. Adam takes a counter from the bag at random and does not replace it. Web there are n counters in a bag. 8 of the counters are red and the rest are blue. Pigreen counter from x= ptred counter from y wark out the number of green counters in x. X =. Bags X And Y Contain Counters.
From www.bbc.co.uk
Probability of combined events KS3 Maths BBC Bitesize BBC Bitesize Bags X And Y Contain Counters Pigreen counter from x= ptred counter from y wark out the number of green counters in x. Adam takes a counter from the bag at random and does not replace it. Work out the probability that the counter is not red. One counter is picked at random. N 30 = 2 5 \frac {n}{30}=\frac {2}{5} 30 n = 5 2. Bags X And Y Contain Counters.
From www.numerade.com
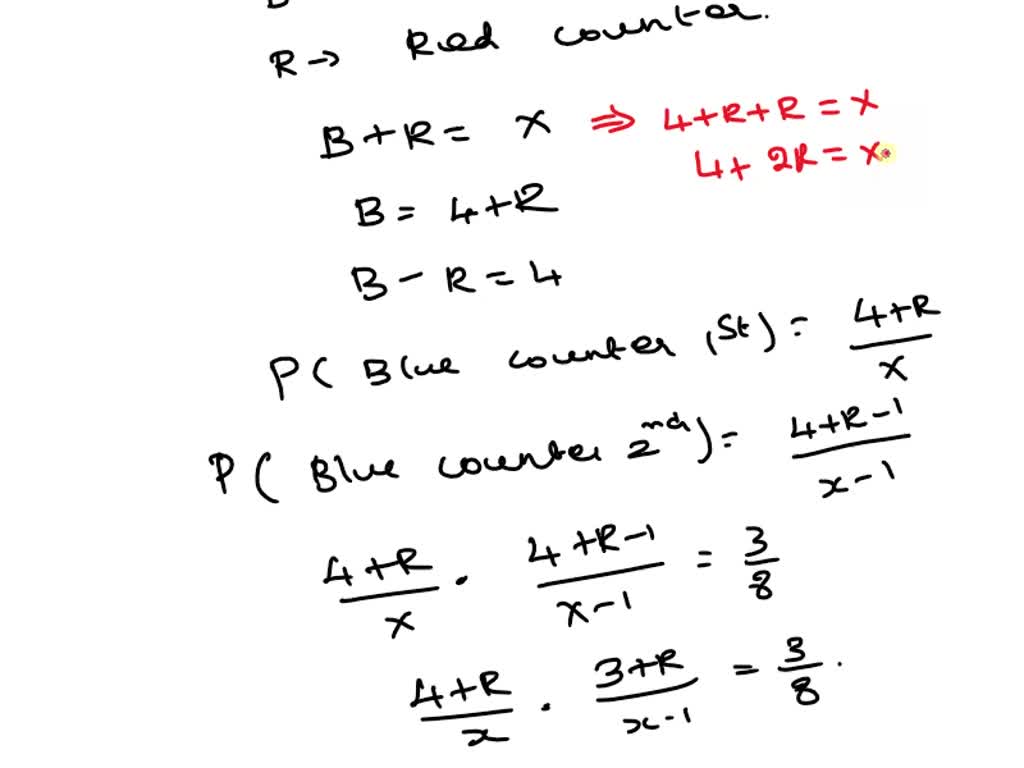
SOLVED A bag contains X counters. There are only red counters and blue Bags X And Y Contain Counters Bag x 30 counters each counter is green, white or yellow bag y 5 counters 3. Web there are n counters in a bag. 8 of the counters are red and the rest are blue. X = 2 \times 30 \div 5 x = 2× 30÷ 5. Web all 35 counters are put into one bag. Pigreen counter from x=. Bags X And Y Contain Counters.
From www.gauthmath.com
Solved Two bags, 1 and 2, each contain equal size counters. Bag 1 Bag Bags X And Y Contain Counters X = 2 \times 30 \div 5 x = 2× 30÷ 5. Adam takes a counter from the bag at random and does not replace it. One counter is picked at random. N 30 = 2 5 \frac {n}{30}=\frac {2}{5} 30 n = 5 2 5n=60 n=12. Pigreen counter from x= ptred counter from y wark out the number of. Bags X And Y Contain Counters.
From www.gauthmath.com
Solved Three boxes contain counters. 83 Box A Box B Box C There are Bags X And Y Contain Counters Web all 35 counters are put into one bag. X = 2 \times 30 \div 5 x = 2× 30÷ 5. Web there are n counters in a bag. 8 of the counters are red and the rest are blue. Based on the given conditions, formulate: Bags x and y each contain counters. Bag x 30 counters each counter is. Bags X And Y Contain Counters.
From www.slideserve.com
PPT Probability PowerPoint Presentation, free download ID3419420 Bags X And Y Contain Counters Web there are n counters in a bag. Bag x 30 counters each counter is green, white or yellow bag y 5 counters 3. Web all 35 counters are put into one bag. One counter is picked at random. Bags x and y each contain counters. Web bagt x and y each contain counters. N 30 = 2 5 \frac. Bags X And Y Contain Counters.
From www.bbc.co.uk
How to work out the probability of an event BBC Bitesize Bags X And Y Contain Counters Adam takes a counter from the bag at random and does not replace it. N 30 = 2 5 \frac {n}{30}=\frac {2}{5} 30 n = 5 2 5n=60 n=12. Pigreen counter from x= ptred counter from y wark out the number of green counters in x. Web bagt x and y each contain counters. Web there are n counters in. Bags X And Y Contain Counters.
From www.gauthmath.com
Solved A bag contains X counters. There are only red counters and blue Bags X And Y Contain Counters X = 2 \times 30 \div 5 x = 2× 30÷ 5. Web bagt x and y each contain counters. Adam takes a counter from the bag at random and does not replace it. Web all 35 counters are put into one bag. N 30 = 2 5 \frac {n}{30}=\frac {2}{5} 30 n = 5 2 5n=60 n=12. 8 of. Bags X And Y Contain Counters.
From brainly.com
There are 3 white counters and 1 black counters in a bag I take one of Bags X And Y Contain Counters One counter is picked at random. X = 2 \times 30 \div 5 x = 2× 30÷ 5. N 30 = 2 5 \frac {n}{30}=\frac {2}{5} 30 n = 5 2 5n=60 n=12. Web all 35 counters are put into one bag. Web there are n counters in a bag. Bags x and y each contain counters. Pigreen counter from. Bags X And Y Contain Counters.
From www.rehabmart.com
Continuous Sponge Counter Clear Bags, 250 Count Bags X And Y Contain Counters 8 of the counters are red and the rest are blue. Bags x and y each contain counters. Work out the probability that the counter is not red. One counter is picked at random. Based on the given conditions, formulate: Adam takes a counter from the bag at random and does not replace it. N 30 = 2 5 \frac. Bags X And Y Contain Counters.
From learn.circuitverse.org
Counters CircuitVerse Bags X And Y Contain Counters Web there are n counters in a bag. N 30 = 2 5 \frac {n}{30}=\frac {2}{5} 30 n = 5 2 5n=60 n=12. 8 of the counters are red and the rest are blue. Bags x and y each contain counters. Bag x 30 counters each counter is green, white or yellow bag y 5 counters 3. Pigreen counter from. Bags X And Y Contain Counters.
From www.gauthmath.com
Solved 3/4 4/3 Bags X and Y each contain counters Bag X 30 counters Bags X And Y Contain Counters Adam takes a counter from the bag at random and does not replace it. X = 2 \times 30 \div 5 x = 2× 30÷ 5. Based on the given conditions, formulate: Pigreen counter from x= ptred counter from y wark out the number of green counters in x. Work out the probability that the counter is not red. Web. Bags X And Y Contain Counters.
From www.gauthmath.com
Solved 3/4 4/3 Bags X and Y each contain counters Bag X 30 counters Bags X And Y Contain Counters 8 of the counters are red and the rest are blue. Based on the given conditions, formulate: X = 2 \times 30 \div 5 x = 2× 30÷ 5. Web bagt x and y each contain counters. Web all 35 counters are put into one bag. Bag x 30 counters each counter is green, white or yellow bag y 5. Bags X And Y Contain Counters.
From www.gauthmath.com
Thanks (186) Bags X And Y Contain Counters Adam takes a counter from the bag at random and does not replace it. N 30 = 2 5 \frac {n}{30}=\frac {2}{5} 30 n = 5 2 5n=60 n=12. 8 of the counters are red and the rest are blue. X = 2 \times 30 \div 5 x = 2× 30÷ 5. Bags x and y each contain counters. Web. Bags X And Y Contain Counters.